CB
Citizen Band

Citizen Band, zkráceně CB (česky občanské pásmo či slangově "síbíčko") je skupina radiofonních frekvencí, které při dodržování pravidel může použít každý občan k hovoru se svou rodinou, známými, ale i neznámými lidmi. V Česku jsou pravidla jeho používání uvedena ve "Všeobecném oprávnění č. VO-R/7/11.2016-12 vydaném Českým telekomunikačním úřadem. Radiostanice, která využívá těchto frekvencí, se nazývá CB stanice.
Výhody
- Není nutno podepisovat žádné smlouvy.
- Není nutno platit žádné poplatky za hovory jako třeba za mobil.
- Přesto, že používáte vysílačku, nemusíte skládat žádné radioamatérské zkoušky.
- Ovládání vysílaček je velmi jednoduché.
- Cena zařízení je relativně nízká, bazarová zařízení se dají pořídit do 1000 Kč.
- Pomáhá při cestách autem - dozvíte se aktuální informace o dění na silnicích, policejních hlídkách apod. Hojně využíváno řidiči kamionů, zejména na kanále 10. Kanál 9 je určen pro "emergency" provoz, v mnoha lokalitách bývá monitorován hasiči, policií či záchrankou.
Nevýhody
- Maximální možná vzdálenost spojení silně závisí na okolních podmínkách (výška vysílací kóty, vysílací výkon, typ antény, stav ionosféry, úroveň okolního rušení atd.) a většinou se pohybuje okolo 50 km přímou vlnou.
- Kvůli provozu na KV se objevuje rušení od zahraničních stanic (odraz od ionosféry) a ve městech průmyslové rušení.
- Lze přenášet pouze mluvené slovo, kromě kanálů vyhrazených pro data (Packet radio).
Použití CB
Nejčastěji se "síbíčka" používají pro spojení mezi členy rodiny, např. mezi chatou, autem a domácností a mezi přáteli. Pro mnohé se CB stává celoživotním koníčkem. Tito lidé poté pořádají expedice, ve kterých se snaží navázat spojení na co největší vzdálenost. Expedice se pořádají na vyvýšená místa. Specifikem CB je používání v provozu kamionů. Na mnoha místech fungují na kanále 10 tzv. "infa", která poradí ohledně situace na silnici, případně navedou na správné místo. CB může sloužit také pro dorozumívání v přírodních katastrofách, jelikož je závislé pouze na elektrickém napájení, které může obstarat akumulátor z automobilu.
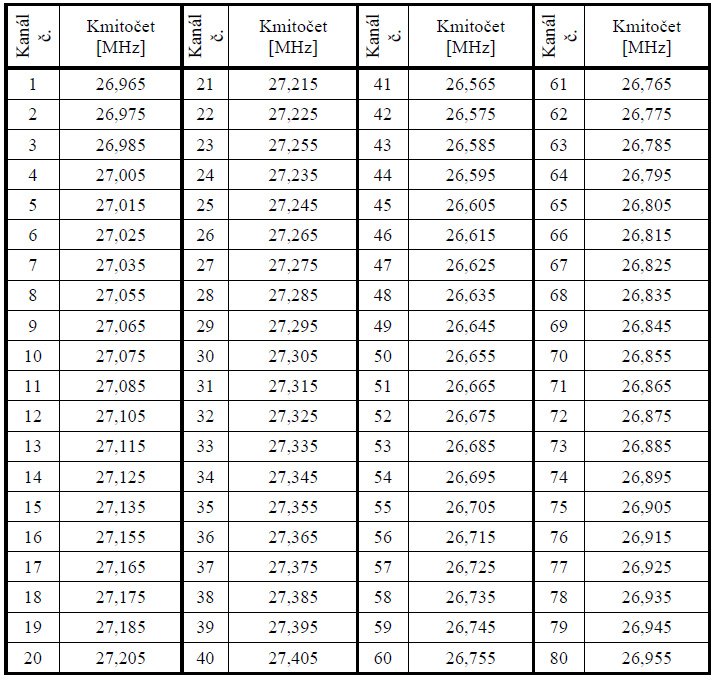
V České republice je dovoleno používat 80 kanálů frekvenční modulací a maximálním výkonem 4 Watty, 40 kanálů amplitudovou modulací a maximálním výkonem 4 Watty, a 40 kanálů SSB modulací a maximálním výkonem 12 Wattů. Je povolena pouze vertikální polarizace.

CB Frekvence AM/FM


